


氣相氣質常見配件耗材
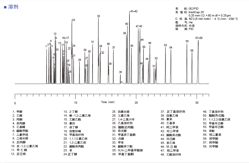
InertCap? 25
● 25 % 苯基 - 75 % 二甲基聚硅氧烷
● 與USP G28固定相相當
● 中等極性
● 鍵合交聯
● 無同類產品
InertCap 25 是鍵合了25 % 苯基 - 75 % 二甲基聚硅氧烷中等極性固定相的毛細管柱。與其他具有不同選擇性的中等極性的色譜柱相比有所不同,InertCap 25可以用于很多化合物的定性定量分析。

